拜克生物
招贤纳士
联系我们
农药类
兽药类
医药中间体
拜克概述
拜克简介
环保公示
发展历程
团队风采
我们的成就
我们的愿景
产品中心
农药类
阿维菌素原药
甲氨基阿维菌素苯甲酸盐
赤霉素
兽药类
盐霉素预混剂
恩拉菌素
多拉菌素
莫西克汀
奈马菌素
泰妙菌素
米尔贝肟
塞拉菌素
伊维菌素
医药中间体
达托霉素
腺嘌呤核苷
氨基酸
番茄红素
β-胡萝卜素
技术力量
质量管理体系
研发体系
生产体系
拜克观点
企业理念
企业精神
核心价值观
人力资源理念
服务理念
经营理念
盐霉素预混剂
Salinomycin premix
恩拉菌素
Ivermectin
多拉菌素
Streptomyces arermitilis
莫西克汀
moxiketing
奈马菌素
Nemadectin
泰妙菌素
Tiamulin
米尔贝肟
Milbemycin oxime
塞拉菌素
Selamectin
伊维菌素
Ivermectin
兽药类产品
Veterinary products
奈马菌素
Nemadectin
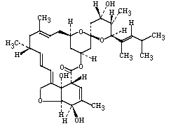
奈马菌素
别名:奈马克丁
英文名:Nemadectin
分子式:C36H52O8
分子量:612
结构式:
邮件
微信
在线QQ
腾讯微博
新浪